| штат: | |
|---|---|
| Количество: | |
4''100QJ 12
100QJ
100: диаметр скважины: 100 мм (4 дюйма).
QJ: погружной насос серии QJ
D: однофазный двигатель (трехфазный без M)
12: Производительность (м3/ч)
06: сцена
1.1: Мощность двигателя (кВт)
Для подачи воды из колодцев или резервуаров.
Для бытового использования, для гражданского и промышленного применения.
Для использования в саду и полива.
Максимальная температура жидкости до +35 °C.
Максимальное содержание песка: 0,25%.
Максимальное погружение: 100 м.
Минимальный диаметр скважины: 4'.
Мотор с перемоткой или мотор с полностью закрытым экраном
Трехфазный: 380–415 В/50 Гц
Однофазный: 220–240 В/50 Гц
Оснащение пусковым блоком управления или цифровым блоком автоматического управления
Насосы сконструированы с нагруженным корпусом
Стандарты размеров NEMA
Специальное механическое уплотнение
Другое напряжение или частота 60 Гц
| ТАБЛИЦА ПАРАМЕТРОВ РАЗМЕРОВ | |||||
| MODEL | A | B | C | D | E |
| 100QJD1206-1.1 | 1043 | 412 | 631 | 2' | Φ96 |
| 100QJD1208-1.5 | 1211 | 442 | 769 | 2' | Φ96 |
| 100QJD1210-2.2 | 1434 | 527 | 907 | 2' | Φ96 |
| 100QJ1210-2.2 | 1409 | 502 | 907 | 2' | Φ96 |
| 100QJ1213-3.0 | 1666 | 552 | 1114 | 2' | Φ96 |
| 100QJ1217-4.0 | 2016 | 627 | 1389 | 2' | Φ96 |
| 100QJ1222-5.5 | 2447 | 712 | 1735 | 2' | Φ96 |
| 100QJ1228-7.5 | 2950 | 802 | 2148 | 2' | Φ96 |
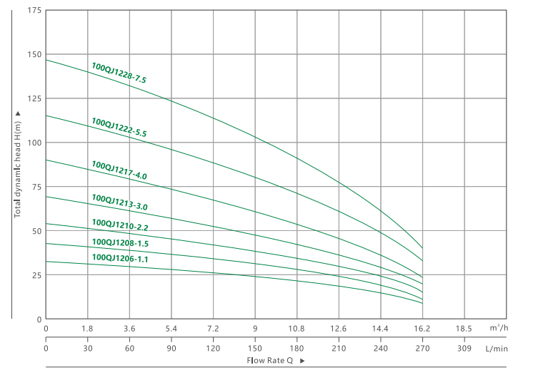
| ЭКСПЛУАТАЦИОННЫЕ ХАРАКТЕРИСТИКИ 50 Гц | ||||||||||||||||
| MODEL | Р2 | ПОДАЧА n=2850 л/мин | ||||||||||||||
| 1~ 220В/240В | 3~ 380В/415В | кВт | HP | Q | л/мин | 0 | 30 | 60 | 90 | 120 | 150 | 180 | 210 | 240 | 270 | 309 |
| м3/ч | 0 | 1.8 | 3.6 | 5.4 | 7.2 | 9 | 10.8 | 12.6 | 14.4 | 16.2 | 18.5 | |||||
| 100QJD1206-1.1 | 100QJ1206-1.1 | 1.1 | 1.5 | Н(м) | 32 | 30 | 29 | 26 | 24 | 22 | 20 | 17 | 13 | 9 | 1 | |
| 100QJD1208-1.5 | 100QJ1208-1.5 | 1.5 | 2.0 | 42 | 41 | 38 | 35 | 32 | 29 | 27 | 23 | 17 | 12 | 1 | ||
| 100QJD1210-2.2 | 100QJ1210-2.2 | 2.2 | 3.0 | 53 | 51 | 48 | 43 | 40 | 36 | 33 | 28 | 21 | 15 | 2 | ||
| 100QJ1213-3.0 | 3.0 | 4.0 | 69 | 67 | 63 | 58 | 52 | 48 | 43 | 37 | 28 | 20 | 2 | |||
| 100QJ1217-4.0 | 4.0 | 5.5 | 90 | 85 | 80 | 73 | 68 | 62 | 56 | 48 | 37 | 24 | 3 | |||
| 100QJ1222-5.5 | 5.5 | 7.5 | 117 | 113 | 106 | 97 | 88 | 81 | 73 | 61 | 47 | 33 | 4 | |||
| 100QJ1228-7.5 | 7.5 | 10 | 148 | 142 | 134 | 123 | 114 | 103 | 93 | 79 | 60 | 40 | 5 | |||
100QJ
100: диаметр скважины: 100 мм (4 дюйма).
QJ: погружной насос серии QJ
D: однофазный двигатель (трехфазный без M)
12: Производительность (м3/ч)
06: сцена
1.1: Мощность двигателя (кВт)
Для подачи воды из колодцев или резервуаров.
Для бытового использования, для гражданского и промышленного применения.
Для использования в саду и полива.
Максимальная температура жидкости до +35 °C.
Максимальное содержание песка: 0,25%.
Максимальное погружение: 100 м.
Минимальный диаметр скважины: 4'.
Мотор с перемоткой или мотор с полностью закрытым экраном
Трехфазный: 380–415 В/50 Гц
Однофазный: 220–240 В/50 Гц
Оснащение пусковым блоком управления или цифровым блоком автоматического управления
Насосы сконструированы с нагруженным корпусом
Стандарты размеров NEMA
Специальное механическое уплотнение
Другое напряжение или частота 60 Гц
| ТАБЛИЦА ПАРАМЕТРОВ РАЗМЕРОВ | |||||
| MODEL | A | B | C | D | E |
| 100QJD1206-1.1 | 1043 | 412 | 631 | 2' | Φ96 |
| 100QJD1208-1.5 | 1211 | 442 | 769 | 2' | Φ96 |
| 100QJD1210-2.2 | 1434 | 527 | 907 | 2' | Φ96 |
| 100QJ1210-2.2 | 1409 | 502 | 907 | 2' | Φ96 |
| 100QJ1213-3.0 | 1666 | 552 | 1114 | 2' | Φ96 |
| 100QJ1217-4.0 | 2016 | 627 | 1389 | 2' | Φ96 |
| 100QJ1222-5.5 | 2447 | 712 | 1735 | 2' | Φ96 |
| 100QJ1228-7.5 | 2950 | 802 | 2148 | 2' | Φ96 |
| ЭКСПЛУАТАЦИОННЫЕ ХАРАКТЕРИСТИКИ 50 Гц | ||||||||||||||||
| MODEL | Р2 | ПОДАЧА n=2850 л/мин | ||||||||||||||
| 1~ 220В/240В | 3~ 380В/415В | кВт | HP | Q | л/мин | 0 | 30 | 60 | 90 | 120 | 150 | 180 | 210 | 240 | 270 | 309 |
| м3/ч | 0 | 1.8 | 3.6 | 5.4 | 7.2 | 9 | 10.8 | 12.6 | 14.4 | 16.2 | 18.5 | |||||
| 100QJD1206-1.1 | 100QJ1206-1.1 | 1.1 | 1.5 | Н(м) | 32 | 30 | 29 | 26 | 24 | 22 | 20 | 17 | 13 | 9 | 1 | |
| 100QJD1208-1.5 | 100QJ1208-1.5 | 1.5 | 2.0 | 42 | 41 | 38 | 35 | 32 | 29 | 27 | 23 | 17 | 12 | 1 | ||
| 100QJD1210-2.2 | 100QJ1210-2.2 | 2.2 | 3.0 | 53 | 51 | 48 | 43 | 40 | 36 | 33 | 28 | 21 | 15 | 2 | ||
| 100QJ1213-3.0 | 3.0 | 4.0 | 69 | 67 | 63 | 58 | 52 | 48 | 43 | 37 | 28 | 20 | 2 | |||
| 100QJ1217-4.0 | 4.0 | 5.5 | 90 | 85 | 80 | 73 | 68 | 62 | 56 | 48 | 37 | 24 | 3 | |||
| 100QJ1222-5.5 | 5.5 | 7.5 | 117 | 113 | 106 | 97 | 88 | 81 | 73 | 61 | 47 | 33 | 4 | |||
| 100QJ1228-7.5 | 7.5 | 10 | 148 | 142 | 134 | 123 | 114 | 103 | 93 | 79 | 60 | 40 | 5 | |||


