| штат: | |
|---|---|
| Количество: | |
5 дюймов SD 12
5SD
5: диаметр скважины: 128 мм (5 дюймов).
SD: название помпы
12: Производительность (м 3/ч)
05: сцена
1.1: Мощность двигателя (кВт)
Для подачи воды из колодцев или резервуаров.
Для бытового использования, для гражданского и промышленного применения.
Для использования в саду и полива.
Максимальная температура жидкости до +35 °C.
Максимальное содержание песка: 0,25%.
Максимальное погружение: 100 м.
Минимальный диаметр скважины: 5".
Мотор с перемоткой или мотор с полностью закрытым экраном
Трехфазный: 380–415 В/50 Гц
Оснащение пусковым блоком управления или цифровым блоком автоматического управления
Насосы сконструированы с нагруженным корпусом
Стандарты размеров NEMA
Специальное механическое уплотнение
Другое напряжение или частота 60 Гц
| ТАБЛИЦА ПАРАМЕТРОВ РАЗМЕРОВ | |||||
| MODEL | A | B | C | D | E |
| 5СД1205-1.1 | 827 | 383 | 444 | 2" | Φ127 |
| 5СД1207-1,5 | 917 | 393 | 524 | 2" | Φ127 |
| 5СД1209-2.2 | 1007 | 403 | 604 | 2" | Φ127 |
| 5СД1212-3.0 | 1212 | 488 | 724 | 2" | Φ127 |
| 5СД1215-4.0 | 1446 | 563 | 883 | 2" | Φ127 |
| 5СД1221-5.5 | 1786 | 663 | 1123 | 2" | Φ127 |
| 5СД1228-7.5 | 2190 | 748 | 1442 | 2" | Φ127 |
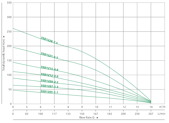
| ЭКСПЛУАТАЦИОННЫЕ ХАРАКТЕРИСТИКИ 50 Гц | |||||||||||||||
| MODEL | Р2 | ПОДАЧА n=2850 л/мин | |||||||||||||
| 3~ 380В/415В | кВт | HP | Q | л/мин | 0 | 83 | 100 | 117 | 133 | 150 | 167 | 183 | 200 | 250 | 267 |
| м3/ч | 0 | 5 | 6 | 7 | 8 | 9 | 10 | 11 | 12 | 15 | 16 | ||||
| 5СД1205-1.1 | 1.1 | 1.5 | Н (м) | 47 | 42 | 40 | 37 | 35 | 33 | 28 | 23 | 20 | 11 | 2 | |
| 5СД1207-1,5 | 1.5 | 2.0 | 65 | 59 | 56 | 52 | 49 | 46 | 39 | 32 | 28 | 15 | 3 | ||
| 5СД1209-2.2 | 2.2 | 3.0 | 85 | 76 | 72 | 67 | 63 | 59 | 50 | 41 | 36 | 19 | 3 | ||
| 5СД1212-3.0 | 3.0 | 4.0 | 112 | 101 | 96 | 89 | 84 | 78 | 66 | 54 | 48 | 25 | 4 | ||
| 5СД1215-4.0 | 4.0 | 5.5 | 140 | 126 | 120 | 111 | 105 | 98 | 83 | 68 | 60 | 32 | 5 | ||
| 5СД1221-5.5 | 5.5 | 7.5 | 195 | 176 | 168 | 156 | 147 | 137 | 116 | 95 | 84 | 45 | 6 | ||
| 5СД1228-7.5 | 7.5 | 10 | 260 | 235 | 224 | 207 | 196 | 182 | 154 | 126 | 112 | 60 | 7 | ||
5SD
5: диаметр скважины: 128 мм (5 дюймов).
SD: название помпы
12: Производительность (м 3/ч)
05: сцена
1.1: Мощность двигателя (кВт)
Для подачи воды из колодцев или резервуаров.
Для бытового использования, для гражданского и промышленного применения.
Для использования в саду и полива.
Максимальная температура жидкости до +35 °C.
Максимальное содержание песка: 0,25%.
Максимальное погружение: 100 м.
Минимальный диаметр скважины: 5".
Мотор с перемоткой или мотор с полностью закрытым экраном
Трехфазный: 380–415 В/50 Гц
Оснащение пусковым блоком управления или цифровым блоком автоматического управления
Насосы сконструированы с нагруженным корпусом
Стандарты размеров NEMA
Специальное механическое уплотнение
Другое напряжение или частота 60 Гц
| ТАБЛИЦА ПАРАМЕТРОВ РАЗМЕРОВ | |||||
| MODEL | A | B | C | D | E |
| 5СД1205-1.1 | 827 | 383 | 444 | 2" | Φ127 |
| 5СД1207-1,5 | 917 | 393 | 524 | 2" | Φ127 |
| 5СД1209-2.2 | 1007 | 403 | 604 | 2" | Φ127 |
| 5СД1212-3.0 | 1212 | 488 | 724 | 2" | Φ127 |
| 5СД1215-4.0 | 1446 | 563 | 883 | 2" | Φ127 |
| 5СД1221-5.5 | 1786 | 663 | 1123 | 2" | Φ127 |
| 5СД1228-7.5 | 2190 | 748 | 1442 | 2" | Φ127 |
| ЭКСПЛУАТАЦИОННЫЕ ХАРАКТЕРИСТИКИ 50 Гц | |||||||||||||||
| MODEL | Р2 | ПОДАЧА n=2850 л/мин | |||||||||||||
| 3~ 380В/415В | кВт | HP | Q | л/мин | 0 | 83 | 100 | 117 | 133 | 150 | 167 | 183 | 200 | 250 | 267 |
| м3/ч | 0 | 5 | 6 | 7 | 8 | 9 | 10 | 11 | 12 | 15 | 16 | ||||
| 5СД1205-1.1 | 1.1 | 1.5 | Н (м) | 47 | 42 | 40 | 37 | 35 | 33 | 28 | 23 | 20 | 11 | 2 | |
| 5СД1207-1,5 | 1.5 | 2.0 | 65 | 59 | 56 | 52 | 49 | 46 | 39 | 32 | 28 | 15 | 3 | ||
| 5СД1209-2.2 | 2.2 | 3.0 | 85 | 76 | 72 | 67 | 63 | 59 | 50 | 41 | 36 | 19 | 3 | ||
| 5СД1212-3.0 | 3.0 | 4.0 | 112 | 101 | 96 | 89 | 84 | 78 | 66 | 54 | 48 | 25 | 4 | ||
| 5СД1215-4.0 | 4.0 | 5.5 | 140 | 126 | 120 | 111 | 105 | 98 | 83 | 68 | 60 | 32 | 5 | ||
| 5СД1221-5.5 | 5.5 | 7.5 | 195 | 176 | 168 | 156 | 147 | 137 | 116 | 95 | 84 | 45 | 6 | ||
| 5СД1228-7.5 | 7.5 | 10 | 260 | 235 | 224 | 207 | 196 | 182 | 154 | 126 | 112 | 60 | 7 | ||


